doska-drova.ru
doska-drova.ru
Найти
Doska-drova リップル
»
カルダノ 公式
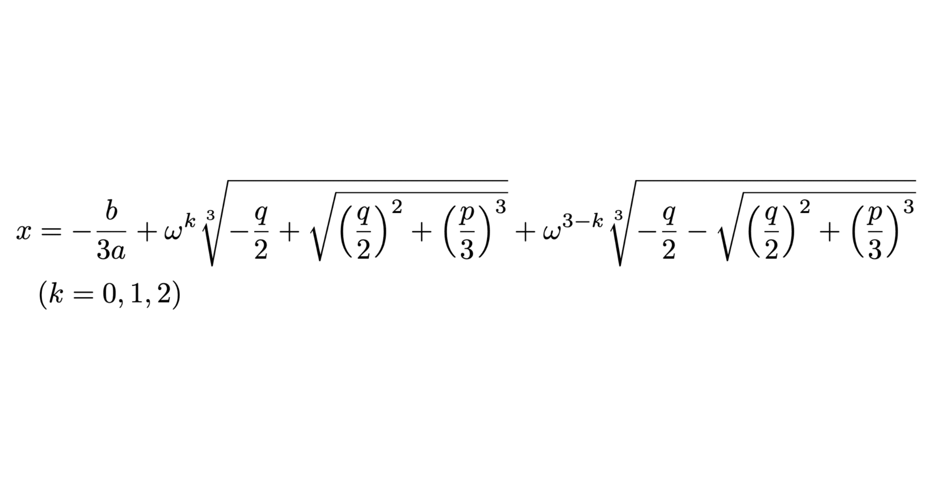
» 三次 方程式 の 解 の 公式 カルダノ の 公式 (97) 사진
三次 方程式 の 解 の 公式 カルダノ の 公式 (97) 사진
0
1
2
3
4
5
04 февраль
0
0
カルダノ 公式
Похожие статьи
カルダノ 日本 上場 (99) 사진
カルダノ 上場 (99) 사진
ada カルダノ 詐欺 (99) 사진
仮想通貨 カルダノ 相場 (99) 사진
カルダノ 方法 (99) 사진